Voici la liste des navires autorisés à pêcher au Sénégal

0

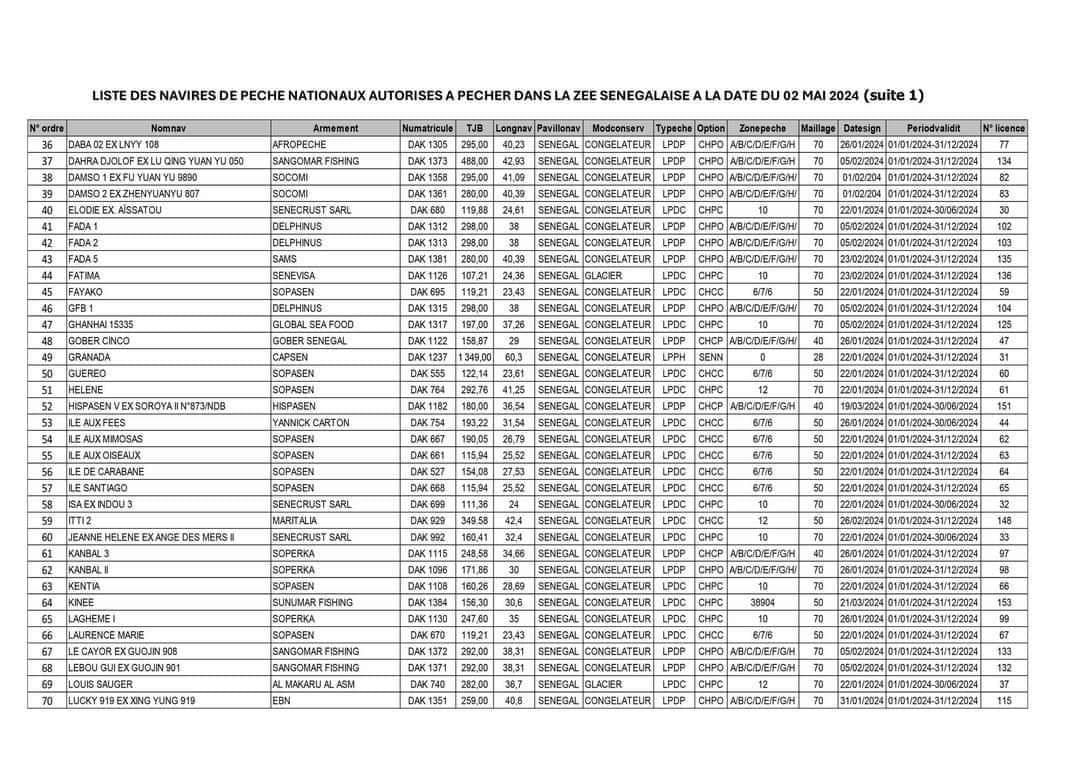
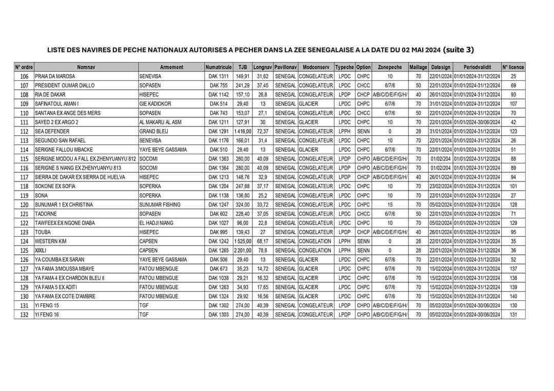
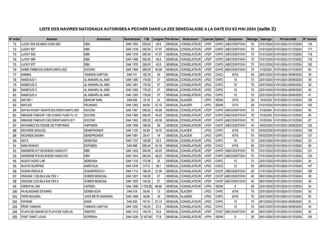
Conformément aux engagements des plus hautes autorités, la ministre des Pêches, des Infrastructures maritimes et portuaires, Dr Fatou Diouf, a rendu publique la liste des navires autorisés à pêcher dans les eaux sous juridiction sénégalaise, à la date du 6 mai 2024. Cette liste ne tient pas compte des dossiers qui sont en cours de renouvellement. Un acte qui répond au principe de transparence dans la gestion des ressources naturelles qui constituent un patrimoine national, selon la ministre des Pêches.

DOC PECHE1  DOC PECHE3 DOC PECHE5

IMG 20240507 WA0075

IMG 20240507 WA0076

DOC PECHE4

laissez un commentaire